✨100 Đề Kiểm Tra Toán 9



















100 Đề Kiểm Tra Toán 9
Cuốn sách tham khảo này sẽ được chia thành 3 phần. Sẽ giúp học sinh có một tài liệu tham khảo hay có giá trị để nâng cao kiến thức về toán. Và một tài liệu hay để quý thầy cô giảng dạy.
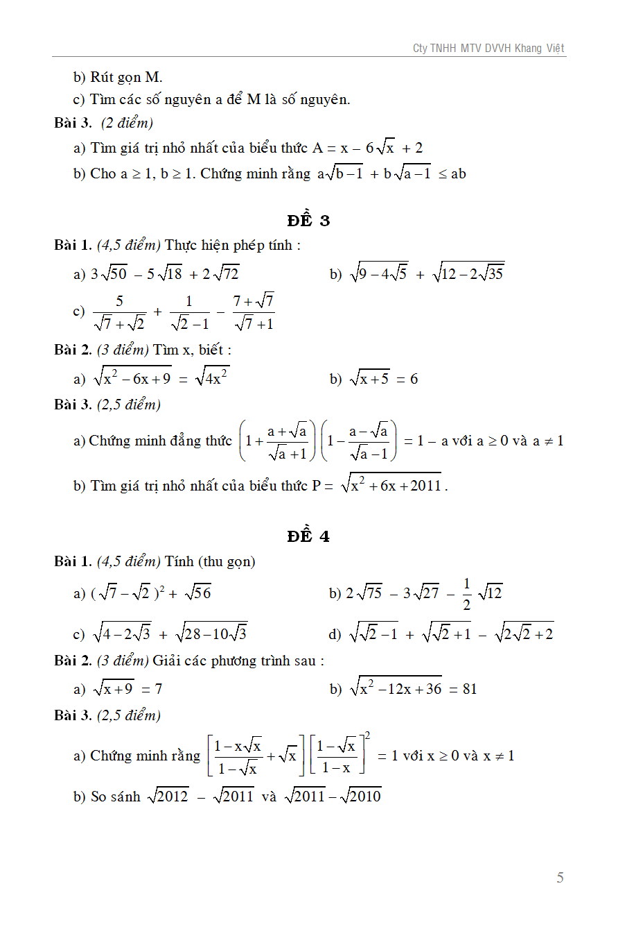
1: Đề kiểm tra và hướng dẫn giải
2: Đề kiểm tra ở một vài địa phương
3: Đề kiểm tra học sinh giỏi Toán
4: Phụ lục: Thử thách




Dùng Chữ Sao Cho Đúng Viết Gì Cũng Thấy Hay Là người phụ trách mục Quan điểm – Góc nhìn cho tờ New York Times, Trish Hall đã dành nhiều năm đắm chìm trong những
“Từ bé đến lớn, mỗi con người luôn có một hoặc nhiều nỗi sợ tồn tại trong bản thân mình, có nỗi sợ rõ ràng, hữu hình như sợ nước, sợ côn trùng, sợ độ
Kẻ Thuận Tay Trái: Bất Đối Xứng - Đồng Dạng - Tự Tổ Chức “Kẻ thuận tay trái: Bất đối xứng- Đồng dạng- Tự tổ chức” là tập sách thể hiện suy tư của một
Freelance Coach - Vén Màn Hậu Trường Của Những Bước Chân 4.0
Sống Trong Thế Giới Đàn Ông (Tái Bản Lần Thứ 4 & Có Bổ Sung) Sống trong thế giới đàn ông là cuốn sách dành cho bạn nếu bạn muốn Yêu và Sống một cách
Tư duy phản biện là một phần trong cuộc sống hằng ngày, bạn cần nắm lấy và phát triển từ nó. Thực hiện nghiên cứu của bạn, tìm kiếm các nguồn thông tin tốt, đưa
Tác giả: Alan Jacobs Dịch giả: Hoàng Đức Long Nhà xuất bản: Thế Giới Số trang: 232 Kích thước: 14 x 20.5cm Ngày phát hành: 01-2021 “Cực kỳ xuất sắ sự nhấn mạnh của Jacobs
Đã bao giờ bạn tự hỏi tại sao người ta muốn giảm cân nhưng lại thất bại trong kế hoạch ăn kiêng? Hay tại sao người ta lại vứt rác một cách vô ý thức
Tâm Lý Học Về Sự Trì Hoãn Tác giả Hayden Finch PhD Dịch giả Tín Nghĩa Thể loại Tâm lý học ứng dụng Kích thước 13 x 19cm Nhà xuất bản Dân Trí Thương hiệu
Sau thành công của cuốn sách đầu tay Bạn Không Thông Minh Lắm Đâu, tác giả David McRaney tiếp tục quay trở lại với sứ mệnh giúp chúng ta nhận ra mình đã bị bộ
Self Leadership - Lãnh Đạo Bản Thân Nhà xuất bản : Nhà Xuất Bản Công Thương. Công ty phát hành : Alphabooks. Tác giả : Andrew Bryant. Kích thước : 16 x 24 cm. Số
Tác Giả: Nguyên Phong Công ty phát hành: First News - Trí Việt Ngày phát hành: 2022 Số trang: 368 Kích thước: 14,5 x 20.5 cm NXB: NXB Hồng Đức Giá bìa: 128.000 VND Loại
Tâm Lý Học Hành Vi: Ai? Cái gì? Khi Nào? Ở đâu? Tại sao? SỰ THẬT CÒN LY KỲ HƠN HƯ CẤU! Dù là người quy củ hay cứng nhắc, ai cũng có lúc hành
Tính Phi Lý Của Lý Trí TÍNH PHI LÝ CỦA LÝ TRÍ – LÝ THUYẾT VỀ CÁC HÀNH VI KỲ LẠ Con người là đối tượng khó hiểu nhất trên đời, mỗi cá nhân đều
Tâm Lý Học Về Sự Trì Hoãn Tác giả Hayden Finch PhD Dịch giả Tín Nghĩa Thể loại Tâm lý học ứng dụng Kích thước 13 x 19cm Nhà xuất bản Dân Trí Thương hiệu
Kẻ Thuận Tay Trái: Bất Đối Xứng - Đồng Dạng - Tự Tổ Chức “Kẻ thuận tay trái: Bất đối xứng- Đồng dạng- Tự tổ chức” là tập sách thể hiện suy tư của một
TÊN SÁCH SỰ NÁO NHIỆT KHI Ở MỘT MÌNH Công ty phát hành TEABOOKS Nhà xuất bản NXB Thế Giới Kích thước 13 x 18 cm Tác giả Doãn Duy An Dịch giả Mỹ Linh
Dám Nghĩ Lớn! Dám Nghĩ Lớn! – tác phẩm nổi tiếng thế giới về những ý tưởng và phương pháp tư duy độc đáo và hiệu quả đã làm thay đổi một cách kỳ diệu
Công ty phát hành: First News - Trí Việt Tác Giả: Nhiều tác giả Ngày phát hành: 2021 Số trang: 200 trang Kích thước: 14.5 x 20.5 cm Nhà xuất bản: NXB Tổng hợp TPHCM
Công ty phát hành: First News - Trí Việt Tác giả: Val Biro Năm xuất bản: 2022 Kích thước: 19 x 26 cm Nhà xuất bản: NXB Tổng hợp Xuất xứ: Trong nước Ngôn ngữ:
Những Quy Tắc Trong Cuộc Sống Một số người dường như rất suôn sẻ trong đường đời. Họ lướt đi trên con đường của mình thật nhẹ nhàng và luôn có đáp án chính xác
Tên Nhà Cung Cấpt1980 Books Tác giảtPatrick King NXB ĐH Kinh Tế Quốc Dân Năm XBt2021 Số trangt256 Giải Mã Hành Vi Đọc Vị Cảm Xúc Chúng ta muốn hiểu được đối phương trước khi
Tác giả: Nhiều tác giả Nhà xuất bản: NXB Tổng hợp Công ty phát hành: First News - Trí Việt Ngày xuất bản: 2023 Kích thước: 14 x 20.5 cm Loại bìa: Bìa mềm Số
THỰC DỤNG Ư? KHÔNG HỀ, TÔI CHỈ RẤT THỰC TẾ THÔI! Con người muốn trưởng thành đều phải trải qua ba lần lột xác “phá kén hóa bướm”. Lần đầu tiên là khi nhận ra
Tâm Lý Học Về Sự Lo Âu - Tác giả: Đổng Tâm Khiết - Dịch giả: Phi Tường - Thể loại: sách tâm lý học - Khổ sách: 14,5 x 20,5 cm - Số trang:
Bạn có muốn mở rộng thế giới của m.ình? Cảm nhận nhiều hơn, hiểu biết nhiều hơn, đi đến thật nhiều vùng đất thú vị? Mật ngọt cho tâm hồn phụ nữ là cuốn sách
Phân Tích Tâm Lý Tội Phạm - Thế Giới Bên Trong Cái Ác Ai ai cũng đang mang theo vẻ ngoài lương thiện xinh đẹp khi đối mặt với thế giới xung quanh, nhưng bên
Một Cuốn Sách Cho Người Nhạy Cảm Ai đó đã từng nhận xét rằng bạn quá nhạy cảm hoặc bạn nên ngừng xem xét mọi vấn đề một cách quá nghiêm túc. Nhìn thấy những
Tôi Có Một Con Chó Mực Tên Của Nó Là Trầm Cảm I have a black dog, his name is Depression. “Con chó mực lấy mất đi kí ức của tôi, nó làm tôi không
Vì Bạn Mạnh Mẽ Hơn Bạn Nghĩ Bạn thường cảm thấy tuyệt vọng, cho đến khi bạn vượt qua được chúng… Con người chúng ta được bao quanh bởi những mối quan hệ xã hội
Khi Gia Đình Không Còn Là Mái Ấm - Hàn Gắn Tổn Thương Từ Gia Đình Sinh ra trong một gia đình độc hại không có nghĩa là bạn sẽ chịu bất hạnh cả đời.
Dám Nghĩ Nhỏ Nhà xuất bản : Nhà Xuất Bản Dân Trí. Công ty phát hành : First News. Tác giả : Owain Service. Kích thước : 14.5 x 20.5 cm. Số trang : 254.
Khoa Học Kỹ Năng Cho Thời Đại Mới - Tư Duy Nhạy, Tiếp Thu Nhanh (Tái bản năm 2022) Nhà xuất bản : Nhà Xuất Bản Thế Giới. Công ty phát hành : Phương Nam
Nuốt Ngược Nước Mắt Để Trưởng Thành Hơn Tác giả Tiểu Quỹ Dịch giả Thủy An Thể loại Tản văn Kích thước 14.5 x 20.5 cm Nhà xuất bản Nhà xuất bản Văn học Thương
Tác giả: Jeong Moon Jeong Dịch giả: Nguyễn Minh Thùy Nhà xuất bản: Thế Giới Số trang: 216 Kích thước: 14 x 20.5 cm Ngày phát hành: 03-2021 Sống trên thế giới này có rất
I , Khẩu khí và tài hoa II , Khẩu khí và sự may rủi III. Tại ăn nói và khi chất của người thành đạt IV Tại ăn nói ứng xử với cấp trên
Khác Biệt Để Bứt Phá Hầu hết các sách kinh doanh đều cho bạn cùng một lời khuyên. Đó là viết ra bản kế hoạch, nghiên cứu thị trường, tìm kiếm nhà đầu tư, vân
Thao Túng Cảm Xúc - Chấn Thương Tâm Lý Do Bị Sỉ Nhục Hầu hết mọi người không hiểu cách đối xử của m.ình dưới mọi hình thức trong quá trình trưởng thành thực ra
Tại Sao Em Ít Nói Thế? Bạn ít nói, ngại giao tiếp, thích những không gian tĩnh lặng, không thoải mái khi phải hòa m.ình vào đám đông, liệu bạn có phải là người hướng
Khi mới bắt đầu thực tập chánh niệm, quý vị thường có cả ngàn câu hỏi. Nhưng trước khi tìm người khác để xin giải đáp thì hãy ngồi xuống với câu hỏi của mình.
Siêu Trí Nhớ 15 bài tập đơn giản giúp bạn rèn luyện trí nhớ hiệu quả “Trong cuốn sách này, tôi muốn chỉ cho bạn cách rèn luyện trí nhớ. Mục đích không chỉ để
Honjok: Yên Bình Sống Một Mình
Nhà văn Gu là người khiếm thính lẫn khiếm thị. Quyển sách này chứa đựng niềm hy vọng mà cô mong muốn mang đến cho mọi người. “Bởi vì không thể nghe được bất kỳ
Siêu Tập Trung - Tăng Hiệu Quả Trong Một Thế Giới Đa Đoan Tăng hiệu quả trong một thế giới đa đoan Sự tập trung là thứ quan trọng trong công việc và cuộc sống
Trân trọng được phục vụ quý khách!
Khác Biệt Để Bứt Phá Hầu hết các sách kinh doanh đều cho bạn cùng một lời khuyên. Đó là viết ra bản kế hoạch, nghiên cứu thị trường, tìm kiếm nhà đầu tư, vân
Ý Cao Tình Đẹp Đây là những kinh nghiệm sống, những truyện sống (histoires vécues), tức là những truyện thực sự đã xảy ra mà tác giả - chỉ một số ít là nhà văn
Bạn Chỉ Cần Sống Tốt, Trời Xanh Tự An Bài Nhà xuất bản : Nhà Xuất Bản Hà Nội. Công ty phát hành : Skybooks. Tác giả : Kotoha Yao. Kích thước : 13 x
Những ước mơ chỉ có thể thành hiện thực khi trái tim bạn đã cảm nhận hoặc tìm thấy niềm đam mê trong lĩnh vực mình yêu thích; hoặc trong công việc va chạm hằng
Cái Bắt Tay Triệu Đô Nhà xuất bản : Nhà Xuất Bản Dân Trí. Công ty phát hành : First News. Tác giả : Catherine Molloy. Kích thước : 14.5 x 20.5 cm. Số trang
Emotional Intelligence - Trí Tuệ Cảm Xúc Trí Tuệ Cảm Xúc - Nâng Cao Chỉ Số EQ - Xây Dựng Và Làm Chủ Các Mối Quan Hệ Bạn có tin rằng cuộc sống của m.ình
Làm Người Thú Vị Nhà xuất bản : Nhà Xuất Bản Tổng hợp . Công ty phát hành : First News. Tác giả : Edward de Bono. Kích thước : 14.5 x 20.5 cm. Số
Có bao giờ bạn chán nản vì bao nỗ lực mình bỏ ra bỗng trở thành công cốc khi mục tiêu bạn theo đuổi cứ trượt khỏi tầm tay và trở thành điều không thể
Cờ vua là môn thể thao tốt nhất để Phát huy trí tuệ logic, giúp trẻ hình thành tư duy xây dựng mục tiêu và chiến lược. - Bộ cờ vua gỗ cao cấp có
Tác giả: Hà Thánh Quân Dịch giả: Tạ Thu Ngân Nhà xuất bản: Thế Giới Số trang: 214 Kích thước: 16 x 24 cm Ngày phát hành: 17-02-2020 “Tiếp thị là một cuộc chiến tâm
Combo Sách Đắc Nhân Tâm + Nhà Giả Kim (Bộ 2 Cuốn) 1. Đắc Nhân Tâm Tại sao Đắc Nhân Tâm luôn trong Top sách bán chạy nhất thế giới? Bởi vì đó là cuốn
Tác giả: Jason Schenker Dịch giả: Huy Nguyễn; Ngày xuất bản: 11-2020 Kích thước: 13 x 20 cm Nhà xuất bản: NXB Lao Động Hình thức bìa: Bìa mềm Số trang: 388 Trích dẫn hay:
Khoa Học Kỹ Năng Cho Thời Đại Mới - Tư Duy Nhạy, Tiếp Thu Nhanh (Tái bản năm 2022) Nhà xuất bản : Nhà Xuất Bản Thế Giới. Công ty phát hành : Phương Nam
Một Cuốn Sách Về Căng Thẳng Tích Cực Bạn luôn nghe thấy mọi người nói rằng: căng thẳng gây ra bệnh tim; căng thẳng gây mất ngủ; căng thẳng gây hại cho bạn! Nhưng điều
User First - Nghệ Thuật Kiến Tạo Trải Nghiệm Người Dùng Trong Mọi Tổ Chức Của Paul Boag Trải nghiệm khách hàng là một đề tài đáng nhận được sự quan tâm nhiều hơn nữa,
👁️ 56 | ⌚2025-09-22 13:30:03.459


Dùng Chữ Sao Cho Đúng Viết Gì Cũng Thấy Hay Là người phụ trách mục Quan điểm – Góc nhìn cho tờ New York Times, Trish Hall đã dành nhiều năm đắm chìm trong những
“Từ bé đến lớn, mỗi con người luôn có một hoặc nhiều nỗi sợ tồn tại trong bản thân mình, có nỗi sợ rõ ràng, hữu hình như sợ nước, sợ côn trùng, sợ độ
Những lo lắng hay hy vọng về cuộc đời có lẽ ẩn hiện trong những nhân viên công sở tan làm, ngồi ở một con hẻm nhỏ ăn một bát cháo thịt băm; cũng có
Tác giả: Nhiều tác giả Ngôn ngữ: tiếng Việt Số trang: 232 Năm xuất bản: 2024 Nhà xuất bản: Hà Nội Kích thước: 13 x 20 m Hình thức: bìa mềm Cuốn sách Trạng nguyên
Kẻ Thuận Tay Trái: Bất Đối Xứng - Đồng Dạng - Tự Tổ Chức “Kẻ thuận tay trái: Bất đối xứng- Đồng dạng- Tự tổ chức” là tập sách thể hiện suy tư của một
Freelance Coach - Vén Màn Hậu Trường Của Những Bước Chân 4.0
Hạnh phúc là điều mọi gia đình đều mong ước Đã bao giờ bạn ngồi lặng yên ở đâu đó và suy ngẫm "Với mình điều gì là quan
I.GIỚI THIỆU SÁCH Là một người quan tâm đến giáo dục và nghiên cứu giáo dục, tác giả Nguyễn Quốc Vương rất coi trọng giáo dục gia đình và coi giáo dục gia đình là
LƯU Ý : SÁCH CHỈ TẶNG KÈM QUÀ CHO BẢN IN ĐẦU TIÊN “Tôi cũng như bao đứa trẻ xa nhà đi tìm công danh nơi phố thị, rồi đến một ngày bỗng tha thiết muốn trở về tìm lại mình của ngày thơ ấu.” Bạn có còn nhớ cái thời không Internet, không điện thoại thông minh, thời mà những con điện thoại bàn cứ thế nằm gọn trong trí nhớ, chẳng cần bận tâm đến
Bạn đang khổ sở đày ải bản thân với hàng loạt câu hỏi. Tại sao luôn trì hoãn? Tại sao cứ phí hoài thời gian mà việc vẫn chất đống? Vì sao bản thân chẳng
Tư Duy Phi Đối Xứng Trong thời đại ngày nay, tư duy đối xứng đã không còn phù hợp nữa rồi. Nếu như bạn nghĩ nỗ lực mình bỏ ra chắc chắn sẽ được hoàn
Tác giả: Chu Thanh Dịch giả: Nguyễn Thị Vân Khánh; Ngày xuất bản: 03-2021 Kích thước: 13 x 20 cm Nhà xuất bản: NXB Thanh Niên Hình thức bìa: Bìa mềm Số trang: 304 “Chậm”
Tác giả : Vĩ Nhân Dịch giả :Hân Ngọc NXB: NXB Văn Học Năm xuất bản : 2018 Số trang : 416 Khối lượng : 430 grams Bìa : Mềm - tay gập Có nhiều
“Nếu bạn nghĩ về bất cứ điều gì trong một giây, bạn sẽ biến điều đó thành một thực tại không thể thấy được kéo dài một giây. Nếu bạn nghĩ về nó trong nhiều
Luật Hấp Dẫn - Quy Luật Về Sự Thịnh Vượng Và Thành Công Nhà xuất bản : Nhà Xuất Bản Thanh Niên. Công ty phát hành : Booklife. Tác giả : Prentice Mulford. Kích thước
Từ Bỏ Thì Dễ, Vượt Lên Chính Mình Mới Khó (Tái Bản 2018) Từ bỏ thì dễ, vượt lên chính mình mới khó – cuốn sách kỹ năng quản lý bản thân giúp các bạn
TẬP TRUNG TÂM TRÍ, SUY NGHĨ THÔNG MINH, QUYẾT ĐỊNH SÁNG SUỐT Mỗi ngày chúng ta đều phải phân tích các tình huống, giải quyết các vấn đề, đưa ra các lựa chọn, quyết định
Sống Trong Thế Giới Đàn Ông (Tái Bản Lần Thứ 4 & Có Bổ Sung) Sống trong thế giới đàn ông là cuốn sách dành cho bạn nếu bạn muốn Yêu và Sống một cách
Tư duy phản biện là một phần trong cuộc sống hằng ngày, bạn cần nắm lấy và phát triển từ nó. Thực hiện nghiên cứu của bạn, tìm kiếm các nguồn thông tin tốt, đưa