✨Sách - Bồi Dưỡng Năng Lực Toán 9 Tập 1 + Tập 2 Theo Chương Trình Mới (Dùng Chung Cho Các Bộ Sách)









THÔNG TIN CHI TIẾT
- Tác giả : Nhiều Tác Giả
- Nhà xuất bản : NXB Dân Trí
- Kích thước : 16 x 24 cm
- Số trang : Tập 1 (294 Trang) + Tập 2 (294 Trang)
- Loại bìa : Bìa mềm
- Công ty phát hành : Khang Việt
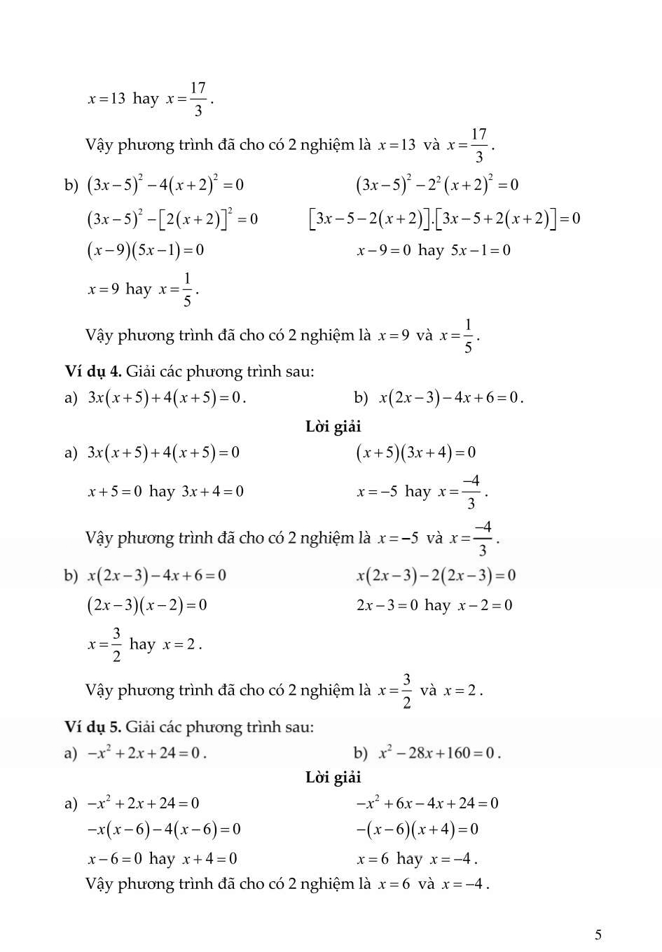
- Năm xuất bản : 2025 GIỚI THIỆU SÁCH Bắt đầu từ năm học 2024 – 2025 học sinh lớp 9 học theo chương trình sách giáo khoa mới. Sách giáo khoa mới nhấn mạnh đến rèn luyện tinh thần tự học của học sinh. Nội dung nhấn mạnh đến tính thực tế và ứng dụng toán học trong đời sống. Ngoài ra còn có một số dạng toán mới mà sách cũ không có. Để đáp ứng nhu cầu tự học của học sinh lớp 9 cũng như nguồn tài liệu cho các Giáo viên giảng dạy, chúng tôi mạnh dạn biên soạn cuốn sách “BỒI DƯỠNG NĂNG LỰC TOÁN 9 – TẬP 1”. Cấu trúc các bài tương tự như sách CHÂN TRỜI SÁNG TẠO, nội dung mỗi bài gồm các phần: A. TÓM TẮT LÝ THUYẾT: Lý thuyết được tóm tắt ngắn gọn, dễ hiểu. B. CÁC DẠNG TOÁN: Các dạng toán được giải chi tiết và có lời bình. C. BÀI TẬP TỰ LUYỆN: Các dạng bài tập trọng tâm từng bài được sắp theo thứ tự từ dễ đến khó để học sinh rèn luyện. D. BÀI TẬP TRẮC NGHIỆM: Các câu hỏi trắc nghiệm quan trọng học sinh cần giải để hiểu bài tốt nhất. E. HƯỚNG DẪN GIẢI BÀI TẬP TỰ LUYỆN – BÀI TẬP TRẮC NGHIỆM. Cuốn sách được biên soạn dựa trên kiến thức tổng hợp các bộ sách giáo khoa với lượng bài tập trong mỗi bài đầy đủ, đa dạng, được sắp xếp từ dễ đến khó với lời giải chi tiết. Vì vậy cuốn sách này đáp ứng được nhu cầu tự học của học sinh và cũng là tài liệu cần thiết để giáo viên tham khảo và giảng dạy.




Bộ sách "Combo 2 cuốn Tổng Hợp Chuyên Đề Trọng Tâm Thi vào 10 Chuyên và Học Sinh Giỏi Lớp 9 (2025)" là bộ sách tổng hợp đầy đủ và chi tiết các kiến thức trọng
THÔNG TIN CHI TIẾT - Tác giả : Nhiều Tác Giả - Nhà xuất bản : NXB Dân Trí - Kích thước : 16 x 24 cm - Số trang : Tập 1 (294 Trang)
Sách - Combo Bác Sĩ Zhivago - Tập 1+2 (Bộ 2 Cuốn) (Bản Dịch Đầy Đủ Nhất) - HA BỘ SÁCH BAO GỒM: 1. Bác Sĩ Zhivago - Tập 1 (Bản Dịch Đầy Đủ Nhất)
Sách - Combo Bác Sĩ Zhivago - Tập 1+2 (Bộ 2 Cuốn) (Bản Dịch Đầy Đủ Nhất) - HA BỘ SÁCH BAO GỒM: 1. Bác Sĩ Zhivago - Tập 1 (Bản Dịch Đầy Đủ Nhất)
Sách - Giải nhanh các chuyên đề hình học 9 tài liệu thi vào lớp 10 (dùng chung cho các bộ sgk hiện hành) - HA Để giúp các em ôn tập và nâng
Theo xu hướng tự chủ, hiện nay các trường đại học, học viện trong cả nước sử dụng nhiều phương thức tuyển sinh khác nhau, trong đó đặc biệt ưu tiên sử dụng kết quả
MÔ TẢ SẢN PHẨM Nhà phát hành: Nhà sách Hồng Ân 2 Nhà xuất bản: NXB Đại Học Sư Phạm Tác giả: Hoàng Xuân Nhàn Năm xuất bản: 2025 Loại bìa: bìa mềm Kích thước:
- Củng cố các kiến thức cơ bản có trong chương trình đã học trong sách giáo khoa -Rèn luyện thêm kỹ năng trình bày bài giải một cácch mạch lạc - Với
Combo Em Học Toán Lớp 6 + Bài Tập - Theo Chương Trình Giáo Dục Phổ Thông Mới (Bộ 4 Cuốn) Bộ sách gồm 4 cuốn: 1. Em Học Toán 6 - Tập 1 (Theo
Nội dung : - - đầy đủ các dạng thi tuyển sinh 2024 - - các sai lầm thường gặp của học sinh - - phân tích, định hướng lời giải đúng - -
Sách - Phân Loại Và Giải Chi Tiết Các Dạng Bài Tập Toán 7 Tập 1+ tập 2 ( Bám sát SGK Kết Nối Tri Thức Với Cuộc Sống ) Các tác giả cũng đặt
Sách - Combo những bài văn tham khảo lớp 9 - tác phẩm thơ + truyện ngoài sgk (dùng chung cho các bộ sgk hiện hành) - HA Các em học sinh thân mến! Văn
Sách - Combo những bài văn tham khảo lớp 9 - tác phẩm thơ + truyện ngoài sgk (dùng chung cho các bộ sgk hiện hành) - HA Các em học sinh thân mến! Văn
Sách - Combo Hướng Dẫn Giải Bài Tập Toán 5 + Hướng Dẫn Học Và Làm Bài Tiếng Việt 5 (Bám Sát SGK Chân Trời Sáng Tạo) (Bộ 4 Cuốn) - HA Combo Hướng Dẫn
Combo Hướng Dẫn Giải Violympic Toán - Tiếng Anh + Bộ Đề Luyện Thi Violympic Trạng Nguyên Tiếng Việt Lớp 4 (Bộ 3 Cuốn) 1. Hướng Dẫn Giải Violympic Toán 4 Giải Toán qua mạng
Sách - Hướng Dẫn Học Tốt Ngữ Văn 9 - Tập 2 (Bám Sát SGK Chân Trời Sáng Tạo) - HA Quý thầy cô cùng các em học sinh thân mến! Mặc dù
Combo Phân Loại Và Giải Chi Tiết Các Dạng Bài Tập Toán 6 (Tập 1+2) (Bám Sát SGK Kết Nối Tri Thức Với Cuộc Sống) Bộ sách bao gồm 2 cuốn: Phân Loại Và Giải
Hướng Dẫn Học Ngữ Văn 9 - Tập 1 (Dùng Kèm SGK Chân Trời Sáng Tạo) Hướng Dẫn Học Ngữ Văn 9 - Tập 2 (Dùng Kèm SGK Chân Trời Sáng Tạo) Mặc dù đã
Để giúp các em bớt đi phần nào lo lắng và khó khăn trước các kì thi, nhất là kì thi THPT Quốc Gia và xét tuyển vào Cao Đẳng, Đại Học, Học viện, tác
1. 200 Bài Toán Hình Học Lớp 9 Sách được viết theo chương trình giáo dục phổ thông mới, dùng chung cho các bộ sách Giáo khoa hiện hành với mục đích góp thêm các
Sách - Bồi dưỡng học sinh giỏi Toán lớp 7 Bộ sách được biên soạn bởi nhóm tác giả là những thầy cô giáo đã và đang giảng dạy ở các lớp chuyên Toán của
Mô tả sản phẩm Môn Khoa học tự nhiên được xây dựng và phát triển trên nền tảng các khoa học vật lí, hoá học, sinh học và khoa học Trái Đất. Đối tượng nghiên
THÔNG TIN SÁCH Công ty phát hành Nhà Sách Hồng Ân 2 Năm Xuất Bản 2023 Tác Giả Lê Thị Nương Kích Thước 17 x 24cm Nhà Xuất bản Đại Học Quốc Gia Hà Nội
Trong chương trình giáo dục phổ thông tổng thể 2018, cùng với các môn học khác, môn Ngữ văn cũng hướng tới dạy học phát triển năng lực và phẩm chất. Ở chương trình Ngữ
Công ty phát hành Nhà Sách Hồng Ân Tác Giả Kiều Bắc | Nguyễn Thị Hoa | Nguyễn Quốc Khánh Năm Xuất Bản 2024 Kích Thước 17 x 24 cm Nhà Xuất bản Hải Phòng
Combo Hướng Dẫn Học Và Giải Các Dạng Bài Tập Toán 9 Tập 1 + 2 (Bám Sát SGK Kết Nối Tri Thức Với Cuộc Sống) (Bộ 2 Cuốn) 1. Hướng Dẫn Học Và Giải
SÁCH - combo hướng dẫn học và phương pháp giải toán lớp 9 (bám sát sách giáo khoa chân trời sáng tạo bộ 2 cuốn) gồm hướng dẫn học và phương pháp giải toán lớp
Nhà sách Tuệ Tâm trân trọng giới thiệu sách: Phân loại và giải chi tiết các dạng bài tập Toán 9 (Kết nối tri thức với cuộc sống)! Nội dung của mỗi bài học đó
SÁCH - combo hướng dẫn học và phương pháp giải toán lớp 9 (bám sát sách giáo khoa chân trời sáng tạo bộ 2 cuốn) gồm hướng dẫn học và phương pháp giải toán lớp
NỘI DUNG SÁCH Cuốn sách được biên soạn theo từng bài học và chia làm 3 phần. Phần 1: Kiến thức cơ bản và ví dụ. Phần 2: Các dạng toán có phương pháp giải
combo Hướng dẫn học và làm bài làm văn Ngữ Văn 9 gồm Hướng dẫn học và làm bài làm văn Ngữ Văn 9 tập 1 Hướng dẫn học và làm bài làm văn Ngữ
Tác giả: Trịnh Văn Bằng Công ty phát hành: nhà sách Hồng Ân Số trang: 464 Nhà Xuất Bản: Đại Học Quốc Gia Hà Nội Năm xuất bản: 2024 Bìa mềm kích thước 17*24cm ------------------
Combo Toán Nâng Cao Lớp 9 (Bộ 2 Cuốn) 1. Toán Nâng Cao Đại Số 9 Đại số là mảng kiến thức rất quan trọng trong toán học phổ thông. Nhằm giúp các em học
Sách - Cảm thụ, phân tích tác phẩm văn học ngoài sách giáo khoa tác phẩm thơ + tác phẩm truyện - HA Sách - Cảm thụ, phân tích tác phẩm văn học ngoài sách
Sách - Combo Toán Nâng Cao Đại Số + Hình Học Lớp 8 (Dùng Chung Cho Các Bộ SGK Hiện Hành) (Bộ 2 Cuốn) - HA 1. Toán Nâng Cao Đại Số 8 (Dùng Chung
Bộ sách gồm 2 tập nhằm tập trung xây dựng, phát triển và mở rộng kiến thức nền tảng Toán học một cách hệ thống, dễ tiếp cận, giúp các em nắm được một cách
1. Nội dung sách tổng ôn toán học lớp 9 Tập 1 gồm 4 chương: - Chương 1: Căn bậc hai, căn bậc ba. - Chương 2: Hàm số bậc nhất. - Chương 3: Hệ
45 đề chinh phục kì thi vào 10 môn Khoa học tự nhiên 1. Nội Dung : .Cuốn sách được chia làm hai chương chính, mỗi chương có nội dung rõ ràng và mạch
1. Nội Dung Cuốn sách được nhóm tác giả biên soạn dựa trên cấu trúc ĐỀ MINH HOẠ KỲ THI TUYỂN SINH LỚP 10 THPT THEO CHƯƠNG TRÌNH GDPT 2018 mà các SỞ GIÁO DỤC
1. Nội dung sách tổng ôn toán học lớp 9 Tập 1 gồm 4 chương: - Chương 1: Căn bậc hai, căn bậc ba. - Chương 2: Hàm số bậc nhất. - Chương 3: Hệ
1. Nội dung sách Tổng ôn tiếng anh lớp 9 chương trình mới cho 2k10 ôn thi vào 10 Bộ sách Tổng ôn tiếng anh 9 bao gồm 3 tập: + Tập 1: Tổng ôn
Chuyên Đề Bài Tập - Khoa Học Tự Nhiên 7 (Dùng Cho Chương Trình GDPT Mới) Quý Thầy Cô cùng quý phụ huynh kính mến! Các em học sinh thân mến! Năm học 2022 -
Đây là cuốn sổ tổng hợp đầy đủ kiến thức lý thuyết của 5 môn toán lý hóa văn anh giúp các em tra cứu và tổng hợp kiến thức dễ dàng - Khi ôn
Chuyên Đề Bài Tập - Khoa Học Tự Nhiên 7 (Dùng Cho Chương Trình GDPT Mới) Quý Thầy Cô cùng quý phụ huynh kính mến! Các em học sinh thân mến! Năm học 2022 -
Sách - Chinh phục câu hỏi lí thuyết hóa học theo chủ đề ôn thi THPT quốc gia (dùng chung các bộ sgk hiện hành) - HA Các em học sinh thân mến! Trong đề
Sách Tinh tuyển Những bài văn Học sinh giỏi Quốc gia 2025 Cuốn sách này là bộ sưu tập 50 bài văn xuất sắc của các thí sinh đạt giải Nhất, Nhì trong kỳ thi
Combo Định Hướng Và Phát Triển Tư Duy Giải Bài Tập Toán Khó Lớp 8 - Tập 1 + 2 (Dùng Chung Cho Các Bộ SGK Hiện Hành) (Bộ 2 Cuốn) 1. Định Hướng Và
Sách Tham Khảo Toán + Vật Lí + Hóa Học 11 (Dùng Chung Cho Các Bộ SGK Hiện Hành) (Bộ 3 Cuốn) 1. Sách Tham Khảo Toán 11 (Dùng Chung Cho Các Bộ SGK Hiện
250 Bài Toán Chọn Lọc Lớp 6 – Cùng con chinh phục môn Toán Cuốn sách 250+ Bài Toán Chọn Lọc Lớp 5 là tài liệu bổ trợ hoàn hảo dành cho các em học sinh lớp
Sách Tham Khảo Toán + Vật Lí + Hóa Học 11 (Dùng Chung Cho Các Bộ SGK Hiện Hành) (Bộ 3 Cuốn) 1. Sách Tham Khảo Toán 11 (Dùng Chung Cho Các Bộ SGK Hiện
Sách - Combo Giúp em giỏi toán 9/1 + 9/2 (bám sát sgk kết nối tri thức với cuộc sống) - HA Cuốn sách Giúp em giỏi Toán 9 Tập một + Tập hai được
Combo 2 cuốn Chuyên Khảo Đa Thức + Phương Trình Hàm (Bồi Dướng HSG Chuyên Toán - Dùng Chung cho các bộ SGK) HA Công ty phát hành: Nhà Sách Hồng Ân 2 Năm Xuất
1. Hướng Dẫn Học Tốt Ngữ Văn 8 - Tập 1 (Bám Sát SGK Cánh Diều) Công ty phát hành Nhà Sách Hồng Ân Tác Giả Kiều Bắc | Nguyễn Thị Hoa | Nguyễn
Combo Em Học Toán Lớp 9 Tập 1 + 2 (Dùng Chung Cho Các Bộ SGK Hiện Hành) (Bộ 2 Cuốn) 1. Em Học Toán Lớp 9Tập 1 (Dùng Chung Cho Các Bộ SGK
SÁCH - Phương pháp mới giải nhanh bài tập di truyền (dùng chung các bộ sgk hiện hành) - HA Từ năm 2010, tác giả Phan Khắc Nghệ đã đưa ra các phương pháp giải
Combo Hướng Dẫn Học Tốt Ngữ Văn 8 - Tập 1 + 2 (Bám Sát SGK Cánh Diều) (Bộ 2 Cuốn) 1. Hướng Dẫn Học Tốt Ngữ Văn 8 - Tập 1 (Bám Sát SGK
Sách - Bồi dưỡng học sinh giỏi toán 9 (dùng chung cho 3 bộ sgk) Với mỗi dạng bài tập cơ bản đều có phương pháp giải cụ thể và ví dụ minh họa. Ngoài
Sách - Giải chi tiết bộ đề thi trung học phổ thông quốc gia môn tiếng anh Công ty phát hành: Nhà Sách Hồng Ân Tác Giả: Lưu hoằng trí Năm Xuất Bản: 2020 Số
Cuốn sách Bồi Dưỡng Ngữ Văn 8 ( Bám sát sgk kết nối tri thức với cuộc sống)được biên soạn nhằm giúp cho các em học sinh lớp 8 có thể tự học để mở
1. Sách - Mindmap kiến thức Toán Văn Anh Lí Hóa lớp 6 - Dễ hiểu, Làm bài nhanh! - Thông tin chi tiết Công ty phát hành: CÔNG TY TNHH WE UP Nhà xuất
👁️ 27 | ⌚2025-10-13 00:18:02.148
bài toán của thiên tài
Mẹo để tăng trí nhớ, học thuộc nhanh, nhớ lâu cho các bạn đây #Shorts
Tập 72: Thử tài Toán học ✨♨️🥰 #shorts #shortvideo #fyp #maths #toanhoc #toanthaymanhhung #hschool
Ôn tập kiến thức trọng tâm hệ thức lượng trong tam giác vuông Toán lớp 9 - Thầy Bùi Minh Mẫn
Hệ thức lượng trong tam giác vuông Bồi dưỡng HSG Toán 9 - Thầy Trần Ngọc Hà
Chứng minh Định Lý Pytago bằng thí nghiệm thực tế | Bạn biết không #shorts

bài toán của thiên tài
Mẹo để tăng trí nhớ, học thuộc nhanh, nhớ lâu cho các bạn đây #Shorts
Tập 72: Thử tài Toán học ✨♨️🥰 #shorts #shortvideo #fyp #maths #toanhoc #toanthaymanhhung #hschool
Ôn tập kiến thức trọng tâm hệ thức lượng trong tam giác vuông Toán lớp 9 - Thầy Bùi Minh Mẫn
Hệ thức lượng trong tam giác vuông Bồi dưỡng HSG Toán 9 - Thầy Trần Ngọc Hà
Chứng minh Định Lý Pytago bằng thí nghiệm thực tế | Bạn biết không #shorts

KHÁCH HÀNG VUI LÒNG ĐẶT 1 ĐƠN TỐI ĐA 5 LỐC GIÚP EM Ạ. Green Bird Hạt Chia là sự kết hợp giữa yến sào thật và hạt chia hữu cơ, mang lại thức
Chất Vải Lụa Pháp Cao Cấp Hoặc Vải Gấm Tuỳ Màu Và Size Nên Chất Vải Khác Nhau Quần Ống Rộng Cổ Áo Chui Không Cài Nút BÁN LẺ GIÁ SỈ Chú Ý Khi Đặt
SÉT BỘ ĐỒ NỮ PHỐI HỌA TIÊT THÊU LOGO SANG TRỌNG SIÊU XINH ĐẸP TRẺ TRUNG THỜI TRANG ĐỒ BỘ CAO CẤP ️ Bao kiểm hàng text hàng trước khi nhận, Nhận không ưng vẫn
Đẹp Từng Đường Kim Mũi Chỉ, Hàng Đạt Chất Lượng Xuất Khẩu BÁN LẺ GIÁ SỈ Chú Ý Khi Đặt Hàng Nhớ Chọn Lấy Mã Miễn Phí Vận Chuyển Và Áp Dụng Mã Miễn Phí
Đồ Chơi Sưu Tầm Max Snack - Zuru 83186 MAX Snack là bộ đồ chơi lắp ráp độc đáo từ thương hiệu ZURU, mang đến trải nghiệm xây dựng và sưu tầm các món ăn
Đồ Chơi Sưu Tầm Max Retro - Zuru 83185 MAX Retro – Bộ sưu tập đồ chơi lắp ráp độc đáo từ thương hiệu ZURU, mang đến trải nghiệm thú vị khi xây dựng và
Phụ nữ à, hãy giữ cho mình một cái đầu lý trí và tỉnh táo trong tình yêu cũng như trong cuộc sống hôn nhân. Vì cái giá mà ta phải trả cho sự mù
Giá bộ: 256.000 VNĐ ----------- 1. BINH PHÁP TÔN TỬ TRONG KINH DOANH Công ty phát hành: First News - Trí Việt Tác Giả: Nhiều tác giả Ngày phát hành: 2019 Số trang: 200 trang
Giá bộ: 256.000 VNĐ ------------- 1. Giáo Dục Không La Mắng Công ty phát hành: First News - Trí Việt Tác Giả: Nobuyoshi Hirai Ngày phát hành: 2020 Số trang: 200 trang Kích thước: 14.5
Bộ sách gồm 2 tựa: Tự học tiếng Tây Ban Nha cho người mới bắt đầu và 3000 từ vựng tiếng Tây Ban Nha thông dụng, là lựa chọn lý tưởng cho những ai muốn
Combo: Sức Mạnh Của Sự Khác Biệt (2 Cuốn): Khác Biệt Hay Là Chết + Khác Biệt Để Bứt Phá ------------ 1/ Khác biệt hay là chết : được đánh giá là một trong
Combo: Sức Mạnh Của Sự Khác Biệt (2 Cuốn): Khác Biệt Hay Là Chết + Khác Biệt Để Bứt Phá ------------ 1/ Khác biệt hay là chết : được đánh giá là một trong
Giá bộ: 236.000 VNĐ ------------ 1. 7 THÓI QUEN CỦA BẠN TRẺ THÀNH ĐẠT Công ty phát hành: First News - Trí Việt Tác Giả: Sean Covey Ngày phát hành: 2022 Số trang: 200 trang
Nội dung cuốn sách Mind map chữ Hán theo Giáo trình Hán ngữ: Chương 1: Quá trình hình thành chữ Hán Chương 2: Cấu tạo chữ Hán Chương 3: Chiết tự chữ Hán Điểm đặc
Hẹn Gặp Lại, Quốc Vương Của Tôi - Tập 4 Có lẽ Quốc vương Mohemisi không thể ngờ rằng, chính em trai ruột của m.ình - Suter lại câu kết cùng thế lực thù địch
COMBO HẠNH PHÚC TỰ THÂN + 10% HẠNH PHÚC HƠN HẠNH PHÚC TỰ THÂN Hành trình tìm hiểu bản thân, lắng nghe bản ngã của một cô gái trẻ để sống hạnh phúc, thanh
Combo Sức Mạnh Tiềm Thức + Sức Mạnh Của Trí Tuệ Cảm Xúc (Bộ 2 Cuốn) 1. Sức Mạnh Tiềm Thức Là một trong những quyển sách về nghệ thuật sống nhận được nhiều lời
Thông tin cuốn sách: Tên: Chiến thắng con quỷ trong bạn Tác giả: Napoleon Hill Dịch giả: Quyết Trần Thể loại: Hướng Nghiệp & Phát Triển Bản Thân NXB: Nxb Hà Nội Đơn vị liên kết
Combo Đánh Thức Con Người Phi Thường Trong Bạn + Đánh Thức Năng Lực Vô Hạn (Tái Bản) ------------ Combo Đánh Thức Con Người Phi Thường Trong Bạn + Đánh Thức Năng Lực Vô
Tác giả: Hồ Công Thiết Nhà phát hành: công ty tnhh sách và truyền thông việt nam Nhà xuất bản: Nxb. Thông tin và Truyền thông Ngày phát hành: 10/2022 Số trang: 308