✨Cambridge Preliminary English Test 5 Student's Book with Answers

















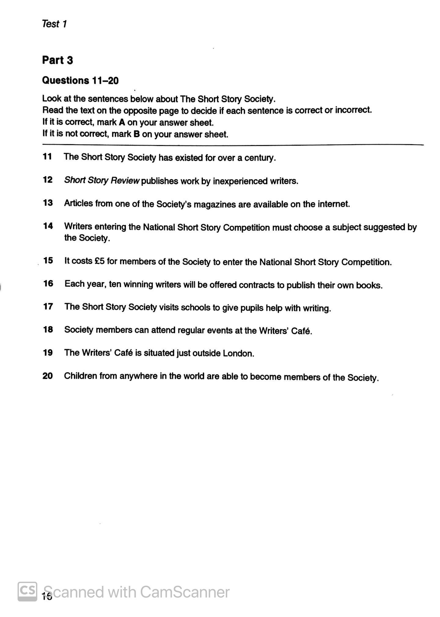
The Cambridge Preliminary English Test 5 practice tests provide candidates with an excellent opportunity to familiarise themselves with the 2004 PET exam and to practise examination techniques. The Student's Book contains practice material for Paper 1 (Reading and Writing) and Paper 2 (Listening), along with attractive colour visual material for Paper 3 (Speaking), enabling students to prepare thoroughly for the paired Speaking test. The Student's Book is available with or without answers.




Family & Friends (2 Ed.) 1: Workbook Family and Friends offers a carefully graded approach to reading, writing and literacy skills in English to young learners. No other course offers you the same benefits as
Family and Friends offers a carefully graded approach to reading, writing and literacy skills in English to young learners. No other course offers you the same benefits as Family and Friends. The exceptionally strong skills
New Get Smart 2 Flashcards New Get Smart là một khóa học chính đưa những học sinh từ trình độ sơ cấp đến trung cấp, đồng thời xem xét cẩn thận nhu cầu và sở
New Get Smart 4 Flashcards New Get Smart là một khóa học chính đưa những học sinh từ trình độ sơ cấp đến trung cấp, đồng thời xem xét cẩn thận nhu cầu và sở
Cambridge English Empower is a general adult course that combines course content from Cambridge University Press with validated assessment from the experts at Cambridge English Language Assessment. The Pre-intermediate Student's Book gives learners an immediate
Everybody Up (2E) 4 Student Book Everybody Up gets students talking about the real world. Posters, videos, stories, and songs link English to other school subjects and universal values, developing global citizens with 21st century
Oxford Phonics World Refresh 5 Students Book Pack Oxford Phonics World is the first step on your students' journey into English, leading you through all 44 sounds .
English File 4th Edition: Intermediate: Student's Book With Online Practice The English File fourth edition Student's Book is packed full of interesting content to keep students of all levels talking. Online Practice gives students the
Starlight: Level 4: Workbook Using a clear 'engage - practice - communicate' approach in every lesson, Starlight's lively stories, songs, projects, CLIL lessons and high-level course syllabus help students master the language they need for exams
English World 5: Pupil Book with eBook Pack English World is a stunningly visual ten-level course which will take children through from primary to secondary. Written by the authors of best-sellers Way Ahead and Macmillan
Provides more practice to consolidate the Student Book Alphabet Writing Practice familiarizes children with upper and lower case letter shapes
Kid's Box Second edition Pupil's Book Level 5
Voices Advanced - Workbook With Answer Key
Let's Go: Level 3: Workbook With Online Practice - 5th Edition Inspire students to enjoy learning in English with a trusted methodology and easy-to-use teaching tools. Let's Go 5th Edition provides lively and motivating activities
Plus de 50 règles et astuces pour ne plus faire de fautes en orthographe ! Vous hésitez entre a et à, ou et où, et et est, quoique et quoi ? En un clin d'oeil,
ACCESS Series – Grade 6-9 is an ELT series that specially designed specifically for secondary students with English advance programs, based on the method of language synthesis. Levels: 4 cấp độ, từ Lớp 6 –
Super Safari: Super Safari British English edition is a three-level pre-primary course that welcomes very young children to English through stories, songs and plenty of playtime while supporting their cognitive, motor-sensory and social development. Join
Prepare A1 Level 1 Workbook With Audio Download PREPARE 2nd edition Level 1 provides a foundation for levels 2 and 3 which prepare students for the revised 2020 A2 Key for Schools exam. The Level
English World is a stunningly visual ten-level course which will take children through from primary to secondary. Written by the authors of best-sellers Way Ahead and Macmillan English, English World combines best practice methodology with
Academy Award-winning screenwriter Quentin Tarantino returns with his most infamous, most brilliant, most masterful screenplay At the end of the Civil War, a stagecoach hurtles through the wintry Wyoming landscape. Bounty hunter John Ruth and
Nikkei Asia là tạp chí tiếng Anh có tên tuổi thuộc tập đoàn Nikkei - Nhật Bản, chuyên viết về những xu hướng kinh tế, công nghệ, chính trị của các nước trong khu vực
Nikkei Asia là tạp chí tiếng Anh có tên tuổi thuộc tập đoàn Nikkei - Nhật Bản, chuyên viết về những xu hướng kinh tế, công nghệ, chính trị của các nước trong khu vực
Nikkei Asia là tạp chí tiếng Anh có tên tuổi thuộc tập đoàn Nikkei - Nhật Bản, chuyên viết về những xu hướng kinh tế, công nghệ, chính trị của các nước trong khu vực
Nikkei Asia là tạp chí tiếng Anh có tên tuổi thuộc tập đoàn Nikkei - Nhật Bản, chuyên viết về những xu hướng kinh tế, công nghệ, chính trị của các nước trong khu vực
Nikkei Asia là tạp chí tiếng Anh có tên tuổi thuộc tập đoàn Nikkei - Nhật Bản, chuyên viết về những xu hướng kinh tế, công nghệ, chính trị của các nước trong khu vực
Nikkei Asia là tạp chí tiếng Anh có tên tuổi thuộc tập đoàn Nikkei - Nhật Bản, chuyên viết về những xu hướng kinh tế, công nghệ, chính trị của các nước trong khu vực
Grammar Friends: 2: Student Book The step-by-step grammar presentations in Grammar Friends introduce form, use and meaning in a way that even young beginner learners can understand and remember. The series was written to support
The Cambridge Preliminary English Test 5 practice tests provide candidates with an excellent opportunity to familiarise themselves with the 2004 PET exam and to practise examination techniques. The Student's Book contains practice material for Paper
Kid's Box 2nd ed Activity Book with Online Resources Level 5
English Plus: Level 1: Student's Book 1 The English Plus Student's Book provides plenty of carefully planned practice to build students' confidence whatever their ability. Extra material offers flexible options so that you can cater to different
Ferris Wheel Level 1 Activity Book The Ferris Wheel Activity Book offers further practice of all the language and content which has been introduced in the Student's Book.
Build conversation skills, with functional language in the new Fluency Time! sections - even see the conversations in action, on the Fluency DVD. Cross-curricular lessons present language in natural, real-life contexts. Students can take their
American Family And Friends: Level Five: Workbook We asked what teachers liked and what they wanted to change. They told us - and we listened. Fluency development. Cross-curricular lessons and projects. Online Play. Just a
Brighter Ideas 3 - Student Book With Online Practice Brighter Ideas is designed to engage students enquiring minds, encouraging them to participate in discussions about real-world topics, and achieve results. With a range of flexible
Prepare B1 Level 5 Workbook with Audio Download PREPARE 2nd edition Level 5 combines 'teen-appeal' topics with extensive preparation for the revised 2020 A2 Key for Schools exam. The Level 5 Workbook provides additional reading,
Big English AmE 2Ed Level 2 Value Pack (SB + WB) Big English is a 6-level, intensive primary course. Designed for achieving results, Big English provides a curriculum that delivers comprehensive English language acquisition underpinned
Let's Begin: Level 2: Student Book - 5th Edition Inspire students to enjoy learning in English with a trusted methodology and easy-to-use teaching tools. Let's Go 5th Edition provides lively and motivating activities and offers
Provides more practice to consolidate the Student Book Picture Dictionary (Levels 1-4) helps with vocabulary practice Grammar Reference Guide (Levels 5-6) offers more practice, and allows students and teachers to check grammar rules
Build conversation skills, with functional language in the new Fluency Time! sections - even see the conversations in action, on the Fluency DVD. Cross-curricular lessons present language in natural, real-life contexts. Students can take their
Build conversation skills, with functional language in the new Fluency Time! sections - even see the conversations in action, on the Fluency DVD. Cross-curricular lessons present language in natural, real-life contexts. Students can take their
Build conversation skills, with functional language in the new Fluency Time! sections - even see the conversations in action, on the Fluency DVD. Cross-curricular lessons present language in natural, real-life contexts. Students can take their
Build conversation skills, with functional language in the new Fluency Time! sections - even see the conversations in action, on the Fluency DVD. Cross-curricular lessons present language in natural, real-life contexts. Students can take their
Build conversation skills, with functional language in the new Fluency Time! sections - even see the conversations in action, on the Fluency DVD. Cross-curricular lessons present language in natural, real-life contexts. Students can take their
Everybody Up (2E) 5 Student Book Everybody Up gets students talking about the real world. Posters, videos, stories, and songs link English to other school subjects and universal values, developing global citizens with 21st century
Kid's Box Second edition Class Book With CD-ROM Starters
Let's Begin: Level 1: Workbook with Online Practice - 5th Edition Inspire students to enjoy learning in English with a trusted methodology and easy-to-use teaching tools. Let's Go 5th Edition provides lively and motivating activities
Big English AmE 2Ed Level 1 Value Pack (SB + WB) Designed for achieving results, Big English 2nd Edition (American English) delivers comprehensive English language acquisition alongside CLIL and broader life skills, supported by unique
English File: Beginner: Student's Book 4th Edition With Online Practice English File's unique, lively and enjoyable lessons are renowned for getting students talking. In fact, 90% of English File teachers we surveyed in our Oxford Impact
Prepares students for the Advanced Listening and Speaking tests. Part of the Improve your Skills series, this book prepares students through pronunciation focus, test questions and listening tasks, along with MPO for further practice online.
Family and Friends: Level 2: Class Book, Second Edition Features for Family and Friends 2nd edition include real-world fluency development with supporting DVD, interactive Online Practice, new and updated assessment and testing material, and additional
Oxford Discover: Level 6: Student Book Pack, 2nd Edition The Oxford Discover Student Book is packed full of interesting content to keep students of all abilities fully engaged and motivated. The Oxford Discover App offers
Everybody Up (2E) 2 Student Book Everybody Up gets students talking about the real world. Posters, videos, stories, and songs link English to other school subjects and universal values, developing global citizens with 21st century
Oxford Discover 2nd Edition: Level 1: Student Book Pack The Oxford Discover Student Book is packed full of interesting content to keep students of all abilities fully engaged and motivated. The Oxford Discover App offers
Oxford Discover: Level 4: Student Book Pack The Oxford Discover Student Book is packed full of interesting content to keep students of all abilities fully engaged and motivated. The Oxford Discover App offers a visual
Big English AmE 2Ed Level 3 Value Pack (SB + WB) Big English is a 6-level, intensive primary course. Designed for achieving results, Big English provides a curriculum that delivers comprehensive English language acquisition underpinned
Access is a four-level course (each level split into a and b) designed for learners studying English at beginner to intermediate level. Each split level consists of 50 modules and is designed to be covered
Build conversation skills, with functional language in the new Fluency Time! sections - even see the conversations in action, on the Fluency DVD. Cross-curricular lessons present language in natural, real-life contexts. Students can take their
American Family And Friends: Level Two: Student Book 2nd Edition We asked what teachers liked and what they wanted to change. They told us - and we listened. Fluency development. Cross-curricular lessons and projects. Online
Oxford Discover 2nd Edition: Level 3: Student Book Pack The Oxford Discover Student Book is packed full of interesting content to keep students of all abilities fully engaged and motivated. The Oxford Discover App offers
Family and Friends: Level 1: Class Book Features for Family and Friends 2nd edition include real-world fluency development with supporting DVD, interactive Online Practice, new and updated assessment and testing material, and additional culture focus
👁️ 118 | ⌚2025-10-06 01:05:14.139
PET 1 TEST 2 | Luyện nghe tiếng anh B1 có dịch nghĩa | Cambridge Preliminary English Test
Luyện nghe PET 1 TEST 1 | Có Đáp Án và Dịch nghĩa Tiếng Việt Chi Tiết | B1 Listening Practice
B1 Preliminary (PET) Listening Test 19 with answers (new format)
B1 Preliminary (PET) Listening Test 20 with answers (new format)
Study English online (B1). Preliminary English Test (PET) Listening Book 5 : Test 1 part 2
Study English online (B1). Preliminary English Test (PET) Listening Book 5 : Test 1 part 1

Sách - Combo Hóa Học Vô Cơ Cơ Bản Tập 1 + Bài Tập Lí Thuyết Đại Cương Về Hóa Học - NXB Giáo Dục - HV
PET 1 TEST 2 | Luyện nghe tiếng anh B1 có dịch nghĩa | Cambridge Preliminary English Test
Luyện nghe PET 1 TEST 1 | Có Đáp Án và Dịch nghĩa Tiếng Việt Chi Tiết | B1 Listening Practice
B1 Preliminary (PET) Listening Test 19 with answers (new format)
B1 Preliminary (PET) Listening Test 20 with answers (new format)
Study English online (B1). Preliminary English Test (PET) Listening Book 5 : Test 1 part 2
Study English online (B1). Preliminary English Test (PET) Listening Book 5 : Test 1 part 1

Truyện - Combo Thám Tử Lừng Danh Conan Tập 1 - Tập 5 (5 Cuốn) (Bản Nâng Cấp) Tác giả Gosho Aoyama Dịch giả Nhiều người dịch (Bản Nâng Cấp) Giá bìa 175.000 Loại
Trong thời đại công nghệ 4.0 hiện nay, robot không còn là khái niệm xa lạ mà đã và đang trở thành một phần tất yếu trong cuộc sống và sản xuất. Việc ứng
Sách tự học Toán học lớp 11 tập 2 chương trình mới: + Chương trình chuẩn kết hợp theo cả 3 bộ sách: Cánh Diều, Kết Nối Tri Thức với Cuộc sống và Chân trời
Mô tả sản phẩm Bộ thiết bị thực hành Toán và Tiếng Việt lớp 1 có các đặc điểm chung như sau: Các chi tiết được làm bằng chất liệu mút xốp,
1. Nội dung sách Tự học Toán học lớp 10: Tập 1: - Chương 1: Mệnh đề và tập hợp (5 chủ đề) - Chương 2: Bất phương trình - Hệ bất phương trình (4
Sách Đánh giá tư duy Bách Khoa Hà Nội TSA 2025 - Tổng ôn phần toán học 1. Nội Dung : Bộ sách này gồm 22 chương với hơn 4 nghìn câu hỏi luyện tập
Bộ sách gồm 2 tập nhằm tập trung xây dựng, phát triển và mở rộng kiến thức nền tảng Toán học một cách hệ thống, dễ tiếp cận, giúp các em nắm được một cách
1. Nội dung sách tổng ôn toán học lớp 9 Tập 1 gồm 4 chương: - Chương 1: Căn bậc hai, căn bậc ba. - Chương 2: Hàm số bậc nhất. - Chương 3: Hệ
+ Chương trình chuẩn kết hợp theo cả 3 bộ sách: Cánh Diều, Kết Nối Tri Thức với Cuộc sống và Chân trời sáng tạo + Hệ thống kiến thức rõ ràng theo chủ đề
Bạn đọc thân mến! Chương trình sách giáo khoa mới có nhiều đổi mới về nội dung, cách diễn đạt. Bộ Giáo dục đã nói rõ, sách giáo khoa chỉ là tài liệu tham khảo.

Sách - Combo Hóa Học Vô Cơ Cơ Bản Tập 1 + Bài Tập Lí Thuyết Đại Cương Về Hóa Học (DN) Gồm 2 cuốn : Hóa Học Vô Cơ Cơ Bản Tập 1 Lí
Bắt Đầu Với Câu Hỏi Tại Sao? ( Tái Bản ) "Lần đầu tiên khi tôi khám phá ra sức mạnh của lý do TẠI SAO là khi tôi cần đến nó trong cuộc đời
Marketing Theo Phong Cách Sao Kim Marketing theo phong cách sao Kim là đầu sách, công trình nghiên cứu chuyên sâu nhất về khai thác tính nữ trong mỗi khách hàng tiềm năng của chúng
Hiệu Ứng Đèn Gas Chồng của bạn đi quá giới hạn khi tán tỉnh một cô nàng ở bữa tiệc tối. Khi bạn đối chất với anh ta, anh ta nói rằng bạn đừng nên
Nhưng nếu có người hỏi: “Rốt cuộc bạn bận gì? Bận như thế để đạt được thành quả gì?” thì ta thường không trả lời được, vì ta chủ mải cắm đầu làm việc trước
“Thầy cô giáo hạnh phúc sẽ thay đổi thế giới” - bộ sách bạn đang cầm trên tay là một món quà đặc biệt quan trọng - hay nói cách khác là một sự trao
Tại sao mỗi lần nhận lương xong tiền đều “không cánh mà bay”? Tại sao “không tiêu xài nhiều” nhưng lúc cần tiền thì lại “không có”? Tại sao chăm chỉ mãi mà số dư
Combo 2 cuốn: Mọi Việc Đều Có Thể Giải Quyết - Tháo Gỡ Khó Khăn Bằng Phương Pháp Thiền + Thiền Chữa Lành Thân Và Tâm 1.Mọi Việc Đều Có Thể Giải Quyết - Tháo
1. Cùng Bạn Trưởng Thành “CÙNG BẠN TRƯỞNG THÀNH” - Cuốn sách lan tỏa đến bạn thông điệp “Không ngừng học tập, không ngừng nỗ lực” trên con đường khẳng định chính mình. Nếu bạn đang
ĐỪNG CHẠY THEO SỐ ĐÔNG Tác giả: Kiên Trần -- /TUYỂN TẬP SÁCH TÁC GIẢ KIÊN TRẦN/ 1. Đừng chạy theo số đông 2. Lập trình quỹ đạo cuộc đời 3. Chuyến tàu một chiều