✨Tìm Chìa Khóa Vàng Giải Bài Toán Hay Lớp 8-9 (Dùng Chung Cho Các Bộ SGK Hiện Hành) _HA
Mua tại Shopee
Mua tại Tiki
Mua tại Lazada
Mua tại TiktokTìm Chìa Khóa Vàng Giải Bài Toán Hay Lớp 8-9
Cuốn sách gồm những bài toán hay, đòi hỏi phát huy trí thông minh và tư duy sáng tạo khi giải. Nội dung cuốn sách cấu trúc bao gồm 7 bài học cho các em thỏa sức sáng tạo, nâng cao kỹ năng giải bài tập toán:
-
Bài 1. Thử trí thông minh
-
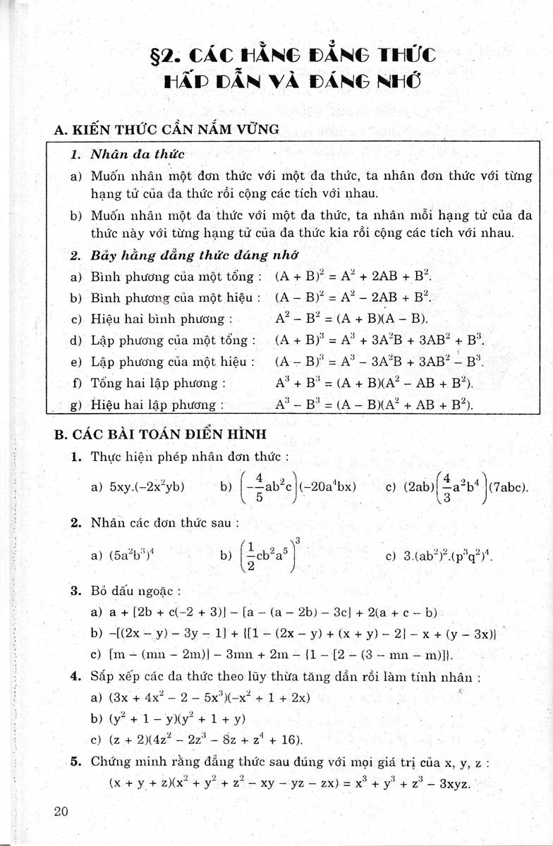
Bài 2. Các hằng đẳng thức hấp dẫn và đáng nhớ
-
Bài 3. Từ phân tích đa thức ra thừa số đến phép chia đa thức
-
Bài 4. Hãy khám phá các phân thức đại số
-
Bài 5. Đào sâu về phương trình và bất phương trình
-
Bài 6. Bí quyết giải hệ phương trình
-
Bài 7. Căn bậc hai có gì lạ ?
Mua tại Shopee
Mua tại Tiki
Mua tại Lazada
Mua tại TiktokCông ty phát hành Nhà Sách Hồng Ân 2 Năm Xuất Bản 2024 Năm Xuất Bản 2023 Kích Thước 17 x 24 cm Số Trang 1240 Loại bìa Bìa Mềm Tác Giả Phan Khắc Nghệ
Bộ sách Tự Học Nâng Cao Kiến Thức THSC do nhóm Hồng Đức biên soạn gồm 4 cuốn:Cuốn 1: Tự Học Nâng Cao Kiến Thức Toán 6 Cuốn 2: Tự Học Nâng Cao Kiến Thức Toán 7
Combo Sách Tham Khảo Toán + Vật Lí + Hóa Học 10 (Dùng Chung Cho Các Bộ SGK Hiện Hành) (Bộ 4 Cuốn)ha-mk1 Công ty phát hành Nhà Sách Hồng Ân 2 Năm Xuất Bản
1. Phân Loại Và Giải Chi Tiết Các Dạng Bài Tập Toán 8 Tập 1 (Bám Sát SGK Kết Nối Tri Thức Với Cuộc Sống) Công ty phát hành Nhà Sách Hồng Ân Năm
NXB Dân Trí Tác giả Nhiều tác giả Năm XB 2025 khổ 20.5x28.5 cm Số trang: 116 trang Hệ thống bài tập theo cấp độ từ cơ bản
Dễ sử dụng Mỗi cuốn sách có các chủ đề, mỗi chủ đề gồm: 1. Tóm tắt kiến thức 2. Ôn luyện 3. Phát triển – Mở rộng 4. Kiểm tra đánh giá Việc đánh
Combo Sách Tham Khảo Toán + Vật Lí + Hóa Học 10 (Dùng Chung Cho Các Bộ SGK Hiện Hành) (Bộ 4 Cuốn) 1. Sách Tham Khảo Toán 10 - Quyển 1 (Dùng Chung Cho
Nhằm giúp quý thầy, cô, các bậc phụ huynh học sinh và các em học sinh có tài liệu tham khảo thêm kiến thức trong quá trình dạy và học ở trường cũng như khả
Nhằm giúp quý thầy, cô, các bậc phụ huynh học sinh và các em học sinh có tài liệu tham khảo thêm kiến thức trong quá trình dạy và học ở trường cũng như khả
Nội dung bao gồm: - Sổ đề cương 3 trong 1 Toán Văn Anh lớp 7 - Học theo sketchnote + Môn Toán: Bao gồm đầy đủ các kiến thức trọng tâm nhất của
Sách - Combo Sách Ngữ Văn Ôn Luyện Thi Vào 10 Dùng Chung Cho Các Bộ SGK Hiện Hành (Bộ 3 cuốn) - Nhà Sách Hồng Ân 3 1. Tự Tin Luyện Thi Vào Lớp
Sách - Sách Ngữ Văn Ôn Luyện Thi Vào 10 Dùng Chung Cho Các Bộ SGK Hiện Hành (Bộ 3 cuốn) 1. Tự Tin Luyện Thi Vào Lớp 10 Môn Ngữ Văn Dành Cho Học
combo gồm 5 cuốn Tuyển Tập Đề Kiểm Tra Định Kì Khoa Học Tự Nhiên Lớp 7 (Theo Chương Trình GDPT Mới) Hướng dẫn trả lời câu hỏi khoa học tự nhiên 7 Học tốt
Combo Bồi Dưỡng Học Sinh Giỏi Sinh Học 10 - 11 - 12 - Phan Khắc Nghệ Combo Bồi Dưỡng Học Sinh Giỏi Sinh Học10 - 11 - 12 - Phan Khắc Nghệ gồm 3
Combo Hướng Dẫn Học Ngữ Văn 9 + Hướng Dẫn Học Và Phương Pháp Giải Toán 9 (Bám Sát SGK Kết Nối) (Bộ 4 Cuốn) 1. Hướng Dẫn Học Và Giải Các Dạng Bài Tập
Combo Phân Loại Và Phương Pháp Giải Nhanh Toán - Hướng Dẫn Học Ngữ Văn - Bài Tập Tiếng Anh Lớp 6 (Bám Sát SGK Chân Trời Sáng Tạo) (Bộ 5 Cuốn) 1. Phân Loại
Khi phân tích chương trình KHOA HỌC TỰ NHIÊN LỚP 9 có thể thấy cấu trúc của ba môn Vật lí, Hoá học, Sinh học có mức độ quan trọng tương đương nhau, mỗi môn
THÔNG TIN CHI TIẾT - Tác giả : Nhiều tác giả - Nhà xuất bản : NXB Dân Trí - Kích thước : 16 x 24 cm - Số trang : 296 trang/1 tập -
Combo Học Giỏi Toán 10 - Tập 1 + 2 (Theo Chương Trình Mới) (Bộ 2 Cuốn) 1. Học Giỏi Toán 10 - Tập 1 (Theo Chương Trình Mới) 2. Học Giỏi Toán 10 -
Sách - Sổ đề cương toán văn anh 7 SKETCHNOTE - Hệ thống 3 môn Toán, Văn, Anh trong cùng 1 cuốn => Giúp em học đều cả 3 môn chính - FULL công thức
Công ty phát hành: Nhân Trí Việt Nhà xuất bản: Nhà Xuất Bản Tổng hợp TP.HCM Tác giả: Chu Dũng Năm xuất bản: 09-2025 Kích thước: 21×28,5cm Loại bìa: Bìa mềm Số Trang: 224 Giới
Đây được xem như “đứa con tinh thần” mang theo nhiều tâm huyết của thầy Trần Nhật Minh và đội ngũ giáo viên, biên tập viên tại MathExpress. Cuốn sách hứa hẹn sẽ: Đem đến
Tên đề tài: Hoá Học Vô Cơ Nâng Cao, Tập Một - Lí Thuyết Đại Cương Về Hoá Học Tác giả: Hoàng Nhâm Năm tái bản: 2018 Khổ sách: 16 x 24 Số trang : 276 Nhà xuất bản
Combo Bộ Sách Tham Khảo Văn Mẫu Lớp 7 (Dùng Chung Cho Các Bộ SGK Hiện Hành) (Bộ 3 Cuốn) Những Bài Văn Đạt Điểm Cao Của Học Sinh Giỏi 7 (Dùng Chung Cho Các
Sổ tay tóm tắt môn học (notebook) là một công cụ học tập hiệu quả, đặc biệt hữu ích đối với học sinh trung học cơ sở (THCS). Ở giai đoạn này, khối lượng kiến
Sách - khám phá toán lớp 9 để học giỏi - tập 1 + 2 (dùng chung cho các bộ sgk hiện hành) - HA Các bạn học sinh thân mến! Theo tiến độ thực
NỘI DUNG SÁCH Chương 1. Chia hết, ước và bội Chương 2. Số nguyên tố, hợp số Chương 3. Số chính phương, số lập phương, căn thức Chương 4. Phương trình
Quý thầy, cô cùng các em học sinh thân mến! Với phương châm giúp học sinh phát triển phẩm chất và năng lực để vừa mở mang kiến thức vừa rèn luyện kỹ năng, cùng
SÁCH - Combo Phương Pháp Tư Duy Tìm Cách Giải Toán: Đại Số 8 + Hình Học 8 (Bộ 2 Cuốn) 1. Phương Pháp Tư Duy Tìm Cách Giải Toán Đại Số 8 2. Phương
Nhằm giúp các em học sinh ôn thi vào lớp 10 cũng như các em học sinh chuyên Toán có một tài liệu mang tính hệ thống để ôn luyện, nâng cao kỹ năng giải
phân Loại Và Giải Chi Tiết Các Dạng Bài Tập Toán Lớp 8 - Tập 1 + tập 2 Nội dung của mỗi tiết học đó là các định nghĩa, các công thức toán học,
Combo Bộ Đề Thi Chuyên Sinh Học 9 + Bồi Dưỡng Học Sinh Giỏi Sinh Học 9 - Phan Khắc Nghệ (Bộ 2 Cuốn) 1. Bộ Đề Thi Chuyên Sinh Học 9 Cuốn sách Bộ Đề
Combo Bộ Đề Ôn Thi Vào Lớp 10 THPT Môn Sinh Học + Bồi Dưỡng Học Sinh Giỏi Sinh Học 9 - Phan Khắc Nghệ (Bộ 2 Cuốn) - TÁI BẢN MỚI 1.Bộ Đề Ôn
Combo Bộ Đề Ôn Thi Vào Lớp 10 THPT Môn Sinh Học + Bồi Dưỡng Học Sinh Giỏi Sinh Học 9 - Phan Khắc Nghệ (Bộ 2 Cuốn) - TÁI BẢN MỚI 1.Bộ Đề Ôn
1. Bồi Dưỡng Học Sinh Giỏi Sinh Học 9 - Phan Khắc Nghệ Cuốn sách Bồi Dưỡng Học Sinh Giỏi Sinh Học Lớp 9 được viết bám sát chương trình Sinh học
Sách Tổng ôn khoa học tự nhiên lớp 9 chương trình mới cho 2k11 ôn thi vào 10 Moonbook 1. Nội Dung : Khi phân tích chương trình KHOA HỌC TỰ NHIÊN LỚP 9 có
Bộ sách "Combo 2 cuốn Tổng Hợp Chuyên Đề Trọng Tâm Thi vào 10 Chuyên và Học Sinh Giỏi Lớp 9 (2025)" là bộ sách tổng hợp đầy đủ và chi tiết các kiến thức trọng
THÔNG TIN CHI TIẾT - Tác giả : Nhiều Tác Giả - Nhà xuất bản : NXB Dân Trí - Kích thước : 16 x 24 cm - Số trang : Tập 1 (294 Trang)
Sách - Combo Bác Sĩ Zhivago - Tập 1+2 (Bộ 2 Cuốn) (Bản Dịch Đầy Đủ Nhất) - HA BỘ SÁCH BAO GỒM: 1. Bác Sĩ Zhivago - Tập 1 (Bản Dịch Đầy Đủ Nhất)
Sách - Combo Bác Sĩ Zhivago - Tập 1+2 (Bộ 2 Cuốn) (Bản Dịch Đầy Đủ Nhất) - HA BỘ SÁCH BAO GỒM: 1. Bác Sĩ Zhivago - Tập 1 (Bản Dịch Đầy Đủ Nhất)
Sách - Giải nhanh các chuyên đề hình học 9 tài liệu thi vào lớp 10 (dùng chung cho các bộ sgk hiện hành) - HA Để giúp các em ôn tập và nâng
Theo xu hướng tự chủ, hiện nay các trường đại học, học viện trong cả nước sử dụng nhiều phương thức tuyển sinh khác nhau, trong đó đặc biệt ưu tiên sử dụng kết quả
MÔ TẢ SẢN PHẨM Nhà phát hành: Nhà sách Hồng Ân 2 Nhà xuất bản: NXB Đại Học Sư Phạm Tác giả: Hoàng Xuân Nhàn Năm xuất bản: 2025 Loại bìa: bìa mềm Kích thước:
- Củng cố các kiến thức cơ bản có trong chương trình đã học trong sách giáo khoa -Rèn luyện thêm kỹ năng trình bày bài giải một cácch mạch lạc - Với
Combo Em Học Toán Lớp 6 + Bài Tập - Theo Chương Trình Giáo Dục Phổ Thông Mới (Bộ 4 Cuốn) Bộ sách gồm 4 cuốn: 1. Em Học Toán 6 - Tập 1 (Theo
Nội dung : - - đầy đủ các dạng thi tuyển sinh 2024 - - các sai lầm thường gặp của học sinh - - phân tích, định hướng lời giải đúng - -
Sách - Phân Loại Và Giải Chi Tiết Các Dạng Bài Tập Toán 7 Tập 1+ tập 2 ( Bám sát SGK Kết Nối Tri Thức Với Cuộc Sống ) Các tác giả cũng đặt
Sách - Combo những bài văn tham khảo lớp 9 - tác phẩm thơ + truyện ngoài sgk (dùng chung cho các bộ sgk hiện hành) - HA Các em học sinh thân mến! Văn
Sách - Combo những bài văn tham khảo lớp 9 - tác phẩm thơ + truyện ngoài sgk (dùng chung cho các bộ sgk hiện hành) - HA Các em học sinh thân mến! Văn
Sách - Combo Hướng Dẫn Giải Bài Tập Toán 5 + Hướng Dẫn Học Và Làm Bài Tiếng Việt 5 (Bám Sát SGK Chân Trời Sáng Tạo) (Bộ 4 Cuốn) - HA Combo Hướng Dẫn
Combo Hướng Dẫn Giải Violympic Toán - Tiếng Anh + Bộ Đề Luyện Thi Violympic Trạng Nguyên Tiếng Việt Lớp 4 (Bộ 3 Cuốn) 1. Hướng Dẫn Giải Violympic Toán 4 Giải Toán qua mạng
Sách - Hướng Dẫn Học Tốt Ngữ Văn 9 - Tập 2 (Bám Sát SGK Chân Trời Sáng Tạo) - HA Quý thầy cô cùng các em học sinh thân mến! Mặc dù
Combo Phân Loại Và Giải Chi Tiết Các Dạng Bài Tập Toán 6 (Tập 1+2) (Bám Sát SGK Kết Nối Tri Thức Với Cuộc Sống) Bộ sách bao gồm 2 cuốn: Phân Loại Và Giải
Hướng Dẫn Học Ngữ Văn 9 - Tập 1 (Dùng Kèm SGK Chân Trời Sáng Tạo) Hướng Dẫn Học Ngữ Văn 9 - Tập 2 (Dùng Kèm SGK Chân Trời Sáng Tạo) Mặc dù đã
Để giúp các em bớt đi phần nào lo lắng và khó khăn trước các kì thi, nhất là kì thi THPT Quốc Gia và xét tuyển vào Cao Đẳng, Đại Học, Học viện, tác
1. 200 Bài Toán Hình Học Lớp 9 Sách được viết theo chương trình giáo dục phổ thông mới, dùng chung cho các bộ sách Giáo khoa hiện hành với mục đích góp thêm các
Sách - Bồi dưỡng học sinh giỏi Toán lớp 7 Bộ sách được biên soạn bởi nhóm tác giả là những thầy cô giáo đã và đang giảng dạy ở các lớp chuyên Toán của
Mô tả sản phẩm Môn Khoa học tự nhiên được xây dựng và phát triển trên nền tảng các khoa học vật lí, hoá học, sinh học và khoa học Trái Đất. Đối tượng nghiên
THÔNG TIN SÁCH Công ty phát hành Nhà Sách Hồng Ân 2 Năm Xuất Bản 2023 Tác Giả Lê Thị Nương Kích Thước 17 x 24cm Nhà Xuất bản Đại Học Quốc Gia Hà Nội
Trong chương trình giáo dục phổ thông tổng thể 2018, cùng với các môn học khác, môn Ngữ văn cũng hướng tới dạy học phát triển năng lực và phẩm chất. Ở chương trình Ngữ
👁️ 147 | ⌚2025-10-07 23:35:09.792
[LẤY GỐC HOÁ 8-9] CÂN BẰNG PHƯƠNG TRÌNH HOÁ HỌC - CỰC DỄ HIỂU
Bài toán chứng minh góc vuông từ đề thi HSG lớp 9 TP Hà Nội 2023 #shorts
3 kiến thức trọng tâm toán lớp 8 | Biquyetdodaihoc #shorts
Tập 72: Thử tài Toán học ✨♨️🥰 #shorts #shortvideo #fyp #maths #toanhoc #toanthaymanhhung #hschool
5 kênh Youtube dạy TOÁN từ mất gốc đến 9+ #motivation #motivationalvideo #motivational #study #try
Chứng minh Định Lý Pytago bằng thí nghiệm thực tế | Bạn biết không #shorts

[LẤY GỐC HOÁ 8-9] CÂN BẰNG PHƯƠNG TRÌNH HOÁ HỌC - CỰC DỄ HIỂU
Bài toán chứng minh góc vuông từ đề thi HSG lớp 9 TP Hà Nội 2023 #shorts
3 kiến thức trọng tâm toán lớp 8 | Biquyetdodaihoc #shorts
Tập 72: Thử tài Toán học ✨♨️🥰 #shorts #shortvideo #fyp #maths #toanhoc #toanthaymanhhung #hschool
5 kênh Youtube dạy TOÁN từ mất gốc đến 9+ #motivation #motivationalvideo #motivational #study #try
Chứng minh Định Lý Pytago bằng thí nghiệm thực tế | Bạn biết không #shorts

+ CHI TIẾT - 100% da bò tự nhiên - Chất liệu: Da bò Pebbled mềm mại - Màu da: Vàng cam - Kiểu dáng: Đứng – Gập 2 - Khóa kéo: Không - Kích
4P's có nghĩa "For Peace" - cho Hòa Bình tràn ngập trên toàn thế giới. Tham vọng ở Pizza 4P's không chỉ đơn giản là "Một nhà hàng Pizza tuyệt vời" mà chúng tôi có
Le Monde Steak là hệ thống Bít Tết theo phong cách thành thị Pháp đầu tiên tại Việt Nam, nơi thực khách tự do trải nghiệm những món ăn mang hương vị Pháp đầy lôi
Sôi nổi, phóng khoáng, vui nhộn chính là tinh thần mà Yakimono – Quán thịt nướng Nhật Bản muốn mang đến cho bạn. Trái ngược với khung cảnh yên bình bên ngoài, chỉ cần đẩy
Hoa Yêu Thương là bông hoa được ghép từ nhiều trái tim với mong muốn kêu gọi mọi người hãy chia sẻ yêu thương nhiều hơn. Cuộc sống sẽ tốt hơn rất nhiều nếu chúng
Gyu-Kaku nhập thịt tươi và cắt từng lát một tại nhà hàng để đảm bảo độ tươi ngon. Nước tương và miso truyền thống Nhật Bản chúng tôi dùng cho sốt và ướp thịt kĩ
Hạn sử dụng: 2025-12-31 00:00:00 Potico là điện hoa chuyên cung cấp bó hoa yêu thương và quà tặng ý nghĩa hàng đầu tại Việt Nam. Potico luôn miễn phí giao hàng trong khu vực
Nếu bạn là người Hàn Quốc sinh sống hoặc làm việc xa nhà, bạn nên ghé qua Butoomac để cảm nhận hương vị quê hương. Đây là những nhà hàng rất nổi tiếng ở Hà
Ra mắt thương hiệu tại Hà Nội với cơ sở đầu tiên Hàng Bông vào năm 2016, hiện nay, Don Chicken đã có 14 cửa hàng tại Hà Nội, Quảng Ninh, Bắc Ninh, Thanh Hóa
MIYEN - Nét chấm phá Nhật Bản tinh tế đầy duy mỹ. Miyen Japanese Fusion Cuisine mong muốn đem đến cho Quý Thực khách trải nghiệm bầu không khí giao thời của một đất nước
Với phương châm: “Nơi ẩm thực Hồng Kông được tôn vinh và chăm chút. Chúng tôi mang đến quý khách sự trải nghiệm tuyệt đối từ vị giác đến văn hóa ẩm thực”. Baoz Dimsum
A Mà Kitchen - Stay Vietnam, Taste HongKong Trở về Hồng Kông 40 năm trước, A Mà - Bà Nội của một gia đình Trung Hoa là người luôn tận tụy chăm lo từng bữa
Thương hiệu bánh donut thơm ngon, và những ly cà phê đậm đà, mang đến không gian thân thiện để kết nối mọi người. CRISPY DONUTS luôn cập nhật hương vị mới, đảm bảo mỗi
Đến Hệ thống tiNiWorld, các bậc phụ huynh hoàn toàn có thể yên tâm vì con yêu của mình được bảo vệ an toàn nhất. Tất cả các thiết bị đồ chơi tại đây đều
BORNGA VIỆT NAM: Là chi nhánh thuộc thương hiệu và chuỗi hệ thống nhà hàng nổi tiếng toàn cầu Bornga, Bornga Việt Nam hân hạnh phục vụ những món ăn mang đậm nét truyền thống
Otoké Chicken tự hào là thương hiệu gà rán của Việt Nam - được đầu tư và quản lý bởi Quỹ đầu tư VI (VIGroup) – một công ty quản lý quỹ chuyên nghiệp, chuyên
Với sự ra đời của cửa hàng đầu tiên tại Việt Nam vào năm 2007, chuỗi cửa hàng TOUS les JOURS khẳng định vị trí dẫn đầu trong phân khúc cao cấp bánh và cà
Bạn đang lên kế hoạch cho một bữa tiệc ấm cúng, một buổi hẹn hò hay một buổi liên hoan cuối năm? Đừng bỏ lỡ voucher tiền mặt từ Ssamjang - Nướng & Cuốn Chợ
Shang Chi - Taiwanese Rotary Hotpot là con tàu trải nghiệm và khám phá thiên đường lẩu Đài Loan đầy màu sắc và đa dạng. Shang Chi cũng là sự giao thoa giữa yếu tố
Không gian rộng rãi và sạch sẽ, nhân viên thân thiện, nhiệt tình chắc chắn là điểm đến lý tưởng cho một cuộc hẹn tại Spicy Box. Đến với Spicy Box bạn sẽ được hóa